Модели миграции

3) Динамические экономико-демографические модели нормы миграции

Большая часть региональных экономик влечет за собой изобретение методов для преодоления проблемы ограниченности и недоступности данных. Примеры основной экономической модели, модели затраты-выпуск и региональной эконометрической модели - актуальные моменты. Моделирование миграции похоже на эти модели. Так как природа и периодичность изданных данных относительно миграции изменяются широко из страны в страну, так что приходится создавать методы, подходящие к каждой. Недавно созданный ряд данных для американской внутренней миграции, например, дает возможность соединить в одном методе преимущества демографического подхода и теоретическую структуру экономики. Данные найдены, благодаря налоговым отчислениям в бюджет между двумя периодами и сравнением адресов налогоплательщиков. Данные о ежегодных потоках миграции в настоящее время доступны в течение некоторых лет. Они являются достаточными, чтобы моделировать миграцию совместимом с региональными эконометрическими моделями, основанными на ежегодных данных. Этот экономико-демографический подход влечет за собой связанные нормы миграции с мультирегиональной демографией. Матрица перехода или Маркова содержит вероятность, что человек из одного региона останется в этом регионе на некоторый период и вероятность, что человек будет мигрировать в каждый из других регионов системы. Эти вероятности обычно основаны на прошлых нормах. В условиях, при которых существует миграция из региона i в регион j (Mij), является обоснованным следующее уравнение: Mij (t) = Pi (t - 1) [Mij (b) /Pi (b-1)], (2), где Р относится к населению региона i в году (t - 1) переходящему к году t, и b является базисным годом. Число в скобках - уровень миграции, наблюдаемой в базисном году. Предполагается, что данные остаются постоянными на протяжении всего периода проектирования.

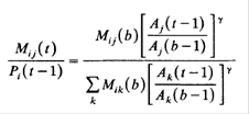
Роджер отметил, что эмпирические результаты использования цепей Маркова были неутешительными в проектировании будущей общей численности населения в результате "ограничительного предположения о неизменных вероятностях перемещения" и Роджерсон доказал, что линейное регулирование вероятностей при использовании двух или более транзитивных матриц может привести к большей точности. Финей рекомендовал регулирование матриц миграции для отражения пространственного изменения распределения экономических возможностей. Этот метод был развит Айсерманом. Его ключевое уравнение:

(3)

где k включает весь набор регионов, Мij относится к людям, которые остаются в регионе i ("стайеры"), A относится к индексу привлекательности региона, и y - параметр, измеряющий величину миграции в ответ на изменяющуюся привлекательность региона.

С двумя наборами матриц потоков миграции y может быть оценен для минимизации среднеквадратичной ошибки между предполагаемым и наблюдаемым уровнем миграции в следующем году. Отметим, что все уровни миграции являются взаимозависимыми; вероятности перемещения из региона i в регион j изменяются, если нет никаких изменений в привлекательности или региона i или региона j, когда есть изменения в привлекательности любых других регионов в системе.

Когда этот подход был осуществлен, используя индекс привлекательности, состоящий из вакантных мест и данных относительно потоков миграции в предыдущих периодах, чтобы спроектировать потоки миграции в будущем, это привело к ошибке проектирования 20 процентов, меньшей, чем стандартная демографическая модель Маркова.

В использовании экономико-демографического матричного подхода, необходимо сделать предположение, что устойчив. Так как все больше лет данные о миграции становятся доступными в США и когда подход используется в немногих странах с ежегодными сезонными миграциями, свойства y могут быть оценены опытным путем и, возможно, даже быть смоделированы как эндогенная переменная. К сожалению, отсутствие надежных серийных данных относительно миграции в пределах большинства стран мира, что природа моделируемого явления все еще неизвестна. Региональным экономистам остается только изобрести методы, использующие только небольшую часть, которую составляют общедоступные данные, а это не легче, чем собрать огромную мозаику со множеством недостающих деталей.

Перейти на страницу: 1 2