Участие рабочей силы

Возвращаясь к рассмотрению реальной заработной платы, реального нетрудового дохода и нормы безработицы, полезно суммировать ожидаемые эмпирические характеристики этих переменных. Существующая теория разрешает любому из коэффициентов быть положительным, отрицательным или равняться нулю, но не всегда в произвольных комбинациях. Рассмотрим простую модель:

(4)

где L - участие региональной рабочей силы, w - реальная рыночная заработная плата, Yn-реальный нетрудовой доход, X - все другие факторы, e является случайной ошибкой и ln обозначает натуральный логарифм. Теория разрешает быть a2 либо положительной, либо отрицательной.

Если они измеряют количество предложения, коэффициенты 1 и 2 могут использоваться, чтобы анализировать совокупную эластичность заработной платы в эффектах дохода и замещения:

a1 = a* + a2 (E/Yn), (5)

то, где a* - эластичность компенсированной заработной платы и E - трудовой доход. Как отмечалось ранее, теория подразумевает, что эластичность a* всегда положительна, эффект замещения увеличения заработной платы должен увеличить часы, предлагаемые рынку. Если а2 положительна, тогда исходя из этой интерпретации данных участия рабочей силы, общий эффект заработной платы, a1, должен также быть положительным. Если a2 отрицателен, a1 может быть либо положительным, либо отрицательным.

Простая теория подразумевала, что общий эффект заработной платы однозначно положителен для решения об участии в рабочей силе. Однако, это не означает что, если интерпретация Льюиса данных участия в региональной рабочей силе поддержана, то a1 должен быть положительным независимо от a2. Простая модель была с одним периодом; результаты моделей жизненного цикла разрешают возможность отрицательной корреляции между решением об участии в рабочей силе и текущей заработной платой.

В то время как теория указывает на то, какие переменные нужно рассмотреть в эмпирических исследованиях участия в рабочей силе, она не предлагает функциональную форму. Последняя - определение соответствующей техники оценки. Однако, несколько функциональных форм / эконометрических методов должны быть кратко упомянуты. Во-первых, многие из более сложных методологий оценки, которые приводятся в общей литературе о предложении труда, не являются подходящими для оценки на более обобщенном региональном уровне. Они имеют дело с проблемами, относящимися к микронаборам данных. Однако, с обобщенными региональными данными относительно рабочей силы мы не имеем двойных наблюдений. Скорее мы имеем то, что может быть рассмотрено, как непрерывные наблюдения относительно популяционных вероятностей.

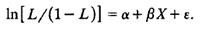
Логическая функциональная форма вероятности, в частности обыкновенна для регионального рынка труда:

(6)

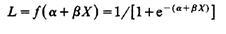
где L - участие рабочей силы, X - вектор детерминантов L, a-константа и b - вектор коэффициентов. Из этого уравнения вытекает следующее:

(7)

и учитывая вероятность случайной ошибки, e, добавляем к предыдущему уравнению и получаем:

(8)

Определение заработной платы и ее дифференцирование

Перейти на страницу: 1 2 3 4