Кривая Филлипса и распределение заработной платы

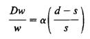
Кривая Филлипса, которая показывает отрицательные отношения между уровнем инфляции заработной платы и нормой безработицы, была впервые представлена в 1958 году в теперь известной книге Филлипса. Это отношение может быть представлено уравнением:

(9)

где Dw/w обозначает временную норму изменений заработной платы в процентах, d - спрос на рабочую силу, s - предложение рабочей силы и a> 0 - параметр регулирования. Данное уравнение воплощает обычно принимаемый закон спроса и предложения, заявляющий, что норма изменения цен на рынке является пропорциональной к лишнему спросу. Липси, однако, отметил, что измерение данных о лишнем спросе на рабочую силу не доступно, нуждаясь в использовании проверенной переменной такой, как норма безработицы. Таким образом, когда d = s, уровень безработицы будет положительным, представляя ненулевую фрикционную или структурную безработицу; когда d> s, падения уровня безработицы; и когда d <s, повышения уровня безработицы.

Другими словами, так как отношение Dw/w положительно связано с лишним спросом на труд, оно должно быть отрицательно связано с изменением уровня безработицы.

Отношения кривой Филлипса были широко обсуждены и проверены как с национальных, так и с региональных перспектив.

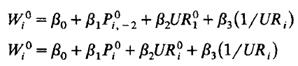
Эмпирические оценки отношения Филлипса на региональном уровне произвели смешанные результаты. Израэли и Кельман, например, исследуют спецификации, показанные в следующих уравнениях:

(10)

где Wi °, P i° и URi ° обозначают процентные изменения в заработной плате, ценах и показателях безработицы в регионе i, (1/URi) - аналог нормы безработицы в регионе i и Pi,2° - процентные изменения в ценах за два периода.

Важная особенность данных уравнений - то, что они определяют заработную плату только местными факторами. Однако, эта теория подразумевает, что рынки труда географически сегментированы и что могут существовать существенные межрегиональные дифференциалы заработной платы. Чтобы проверить, будут ли региональные рынки труда

лучше всего изучены в географической изоляции, необходимо включить распределение заработной платы в эмпирический анализ. Маркис и Рид, например, исследовали уравнение, похожее на за исключением того, что четвертая объяснительная переменная

(Wi,2*), был добавлен, измеряя отношение заработной платы в городе i к среднему уровню заработной платы на пяти городских рынках труда (Хьюстон, Лос-Анджелес, Портленд, Сан-Франциско и Сиэтл). Эта переменная была включена, чтобы учесть межрегиональный обратный эффект на процесс определения заработной платы города. В своих расчетах, Маркис и Рид нашли, что коэффициенты P0 и Wi,2* являются положительными и очень значительными, в то время как ни один из коэффициентов URi° и 1/URi не были существенны. Рид, Хатчинсон и Рубин также сделали подобные выводы после передачи анализу переменных межрегиональной заработной платы.

Подход, основанный на ведущих регионах, представляет особенно интересный способ рассматривания перехода заработной платы и процесс распределения. Этот подход основан на идее, что изменения доходов на лидирующем рынке, определенные излишним спросом на рабочую силу, передаются, полностью или частично, на отстающие рынки.

Таким образом, в отличие от кривой Филлипса, гипотеза ведущего сектора экономики предполагает, что межрегиональные дифференциалы заработной платы будут устранены. Существует два возможных, но весьма непохожих, механизмов, которые могли привести к этому результату. Во-первых, в качестве процесса, благодаря которому отстающие регионы догоняют лидирующие, может быть в значительной степени установлен тот, в котором служащие заключают сделку на увеличение заработной платы, равной заработным платам в других регионах независимо от местного состояния рынка труда. Во-вторых, увеличение заработной платы отстающих регионов могут просто отражать эффект конкуренции на рынке товаров и услуг и подвижность факторов производства в движении экономики к равновесию. Хотя подход ведущего региона является общепризнанным, важная проблема все еще остается: в нем не существует уникального и однозначного способа выделить ведущие регионы экономики страны. Различные методы использовались, включая численность населения и ключевые группы промышленности, но экономисты согласны с тем, что любая процедура ранжирования будет произвольна.