Межрегиональные дифференциалы заработной платы

Межрегиональные различия в средней заработной плате и доходе вызвали огромное число эмпирических исследований, чтобы объяснить, почему эти дифференциалы получили поддержку. Причины часто включают препятствия, связанные с капиталом и трудовую мобильность так же, как и межрегиональные различия в силе профсоюзов, техниках производства, стоимости проживания, индустриальном и профессиональном составе, расовой дискриминации, снабжении и возвращении к человеческому капиталу и удобствами. Существует несколько типов рабочей силы, которым платят различные нормы равновесной заработной платы и не замещаются в производстве.

Привлекательность неоклассического типа модели в изучении межрегионального различия в средней заработной плате легко демонстрируются, используя пример, основанный на определенной формулировке фактора, предложенной Джонсом, функции производства показывают постоянные доходы и все рынки всегда находятся в конкурентоспособном равновесии. Эти два предположения подразумевают, что человеческий фактор полностью используется, и предприниматели зарабатывают нулевую прибыль.

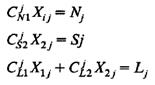
Алгебраически полные условия занятости могут быть выражены как:

(11)

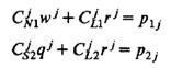
и уравнения нулевой прибыли

(12)

где Cikj - коэффициент ввода - вывода, обозначающий среднее количество фактора i (i=N, S, L), использующегося при производстве товара k (k=1,2) в регионе j (j=A, B), Xkj обозначает количество товара k, произведенного в регионе j, N обозначает количество рабочей силы низкой квалификации, доступной в регионе j, Sj обозначает количество доступной квалифицированной рабочей силы в регионе j, Lj обозначает количество земли, доступной в регионе j, wj обозначает норму заработной платы, которую платят Nj, qj обозначает норму заработной платы, заплаченной Sj, r - норма ренты к Lj, а Pkj обозначает цену товара k в регионе j. Спецификация, показанная неявно предполагает, что все три фактора - межрегионально неподвижны и нет никакой торговли товарами. Кроме того, в пределах каждого региона, земля межсекторно мобильна, тогда как два типа рабочей силы - используются только в производстве одного из двух товаров региона.

Теперь предположим, что торговля товарами может происходить с нулевыми транспортными расходами, то есть PkA = PkB = Pk (k =1,2), и есть свободный поток знаний так, что производственные технологии в регионах идентичны. В модели типа Хекшера-Охлина, с равным числом товаров и факторов производства, предположения, сделанные к этому пункту были бы достаточным, чтобы гарантировать равновесные цены на фактор. Для равновесия цен на фактор, чтобы случиться в неоклассической модели, по крайней мере один из трех факторов должен быть полностью мобильным межрегионально. Таким образом, в вышеприведенной модели, нулевых уравнений прибыли не достаточно, чтобы определить цену на фактор, когда известны только цены на товары. Вместо этого цены на фактор зависят не только от цен на товары, но также и от предложения фактора производства, данного из уравнения полной занятости.

Равновесие цен на фактор в неоклассической модели, однако, может быть гарантировано наложением дополнительного и, в региональном контексте, очень вероятного предположения, что по крайней мере один из двух факторов труда является межрегионально мобильным. В настоящий момент, предположим, что только квалифицированная рабочая сила мобильна. В этом случае, заработная плата, заплаченная каждому фактору, была бы межрегионально равной. Однако, даже если WA = WВ = W и qA= qB = q, неоклассическая модель все еще учитывала бы межрегиональное различие в средней заработной плате, заплаченной рабочей силе. Чтобы проиллюстрировать, средняя заработная плата в регионе A получена, вычисляя взвешенную сумму w и q, где веса показывают пропорцию чернорабочих и квалифицированных рабочих, соответственно, в полной региональной рабочей силе. Даже после разрешения межрегионального перемещения квалифицированной рабочей силы, процентное отношение двух типов рабочих в рабочей силе каждого из этих двух регионов были бы одинаковыми только в результате большой удачи. Эта ситуация легко могла бы быть замечена с тех пор, когда начальное региональное снабжение землей отличался бы. Поэтому, предполагая, что q> w, регион с самым высоким процентом квалифицированной рабочей силы в общей рабочей силе также имел бы самую высокую среднюю заработную плату. Наконец, эта разница в средней заработной плате была бы устранена в описанной модели, если бы оба типа рабочей силы были межрегионально мобильны. В случае полной мобильности труда, равновесие цены на фактор все еще преобладало бы; однако, предложение фактора в регионе A закончилось бы быть постоянным сравнительно с регионом B. Следовательно, в формулировке модели, где межрегиональное различие в средней заработной плате - важная особенность, неоклассический подход с мобильностью только квалифицированной рабочей силы мог бы быть выбран. С этой точки зрения, разрыв в заработной плате может быть введен, не принимая полную неподвижность труда, существование препятствий к передаче знания или потоков фактора, или дефицитов на любом из рынков.

Перейти на страницу: 1 2